| |
Neuronske mreže
> Predavanje
>
| 4. Na koji način
se učenjem stvara neuronska mreža? |
Rad umjetne neuronske mreže odvija se u
dvije osnovne faze: najprije se odvija faza učenja
ili treniranja mreže, a zatim slijedi faza testiranja.
Animacija
4. Kako se korigira znanje u jednoj neuronskoj mreži.
1)
Učenje
Učenje je proces mijenjanja težina u mreži, a odvija se kao
odgovor na podatke izvana koji su predstavljeni ulaznom sloju
i u nekim mrežama izlaznom sloju. Podaci koji se predstavljaju
izlaznom sloju su željene vrijednosti izlaznih varijabli.
Ukoliko su one poznate, radi se o tzv. nadgledanom učenju.
Na primjer, nadgledani algoritmi su: mreža širenje unatrag,
mreža s radijalno zasnovanom funkcijom, modularna mreža, vjerojatnosna
mreža, LVQ (mreža učeće vektorske kvantizacije), i drugi.
Ukoliko je ulazni vektor jednak izlaznom vektoru, radi se
o autoasocijativnim mrežama, a ukoliko je različit, radi se
o heteroasocijativnim mrežama. Kod nekih mreža željeni izlaz
ne mora biti predstavljen mreži. U tom slučaju radi se o tzv.
nenadgledanom učenju. Najčešći nenadgledani algoritmi su Kohonenova
mreža, mreža konkurentskog učenja, te ART (mreža adaptivne
rezonantne teorije).
Prije samog učenja potrebno
je definirati model (ulazne i izlazne varijable), te prikupiti
podatke iz prošlosti na kojima će se primijeniti mreža. Prikupljene
podatke treba podijeliti u dva poduzorka (uzorak za treniranje
i uzorak za testiranje), a ukoliko se za vrijeme učenja planiraju
koristiti optimizacijske tehnike za optimiranje duljine učenja
i strukture mreže, potrebno je ukupan uzorak podijeliti na
tri poduzorka (za treniranje, testiranje i konačnu validaciju).
Pravila za ovu podjelu nema, osim što se preporuča najveći
dio podataka ostaviti za treniranje mreže, a manji dio podataka
za testiranje i validaciju (npr. 70% za treniranje, 10% za
testiranje i 20% za validaciju). Podaci se raspoređuju u poduzorke
slučajno, osim kod vremenskih serija gdje treba poštovati
vremenski slijed nastajanja promatranja, tj. trenirati mrežu
na starijim, a testirati na novijim podacima.
Nakon što je definiran model,
pripremljeni ulazni podaci i izabran NM algoritam, te pravilo
učenja i potrebne funkcije, mrežu treba učiti ili trenirati
na pripremljenim podacima iz prošlosti, kako bi ona prepoznala
vezu između podataka i bila u mogućnosti na osnovu ulaznih
vrijednosti predviđati izlaze. Sama faza učenja je proces
podešavanja težina u mreži, koje se odvija u više iteracija
ili prolaza kroz mrežu. Jedna iteracija predstavlja učitavanje
jednog promatranja iz podataka (jednog ulaznog i izlaznog
vektora), ali se zbog povećanja brzine učenja ponekad preporuča
učitati više promatranja odjednom, pri čemu se broj promatranja
koji se obrađuju u jednoj iteraciji zove epoha. U svakoj iteraciji
računaju se nove težine, a kod nadgledanih algoritama i nova
greška. Obično se mreža trenira u nekoliko tisuća iteracija.
Najvažnije pitanje u ovoj
fazi je koliko dugo trenirati mrežu kako bi ona dala što bolji
rezultat, odnosno najmanju grešku. Ne postoje egzaktna pravila
za dužinu treniranja, te odgovor na ovo pitanje treba potražiti
vlastitim eksperimentiranjem ili primjenom optimizacijskih
tehnika kao npr. tehnika unakrsnog testiranja. Ova se tehnika
može opisati u nekoliko koraka:
- mreža se najprije trenira na određenom
broju iteracija (npr. 10000),
- tako naučena mreža se testira na uzorku
za testiranje, i pohrani dobiveni rezultat i mreža.
- mreža se zatim nastavlja trenirati
na još tolikom broju iteracija (npr. još 10000), te se dobiveni
rezultat uspoređuje s prethodno pohranjenim. Ukoliko je
u ponovnom učenju dobiven bolji rezultat, pohranjuje se
novi rezultat i nova mreža.
- postupak se ponavlja sve dok se rezultat
prestane poboljšavati, a najbolja pohranjena mreža ulazi
u daljni postupak validacije.
Rezultat (npr. RMS greška)
dobiven u fazi učenja nije mjerodavan za ocjenjivanje mreže,
jer ne pokazuje ponašanje mreže na novim podacima.
2)
Testiranje mreže
Testiranje mreže je druga faza rada neuronske mreže, i ona
je odlučujuća za ocjenjivanje mreže. Razlika između faze učenja
i faze testiranja je u tome što u ovoj drugoj fazi mreža više
ne uči, a to znači da su težine fiksne na vrijednostima koje
su dobivene kao rezultat prethodne faze učenja. Takvoj mreži
se predstavljaju novi ulazni vektori koji nisu sudjelovali
u procesu učenja, a od mreže se očekuje da za predstavljen
novi ulazni vektor proizvede izlaz. Ocjenjivanje mreže obavlja
se izračunavanjem greške ili nekog drugog mjerila točnosti
(npr. stope točnosti), na način da se izlaz mreže uspoređuje
sa stvarnim izlazima.
Dobivena greška mreže na
uzorku za validaciju je rezultat kojim se tumači uspješnost
ili neuspješnost neuronske mreže i njezina korisnost u primjeni
za predviđanje na budućim podacima. Najčešća greška koja se
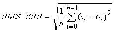
računa kod neuronskih mreža je srednja kvadratna greška (Root
mean square error), prema formuli:

gdje je ti
izračunati izlaz koji daje mreža, oi je željeni
(stvarni) izlaz za slučaj (ulazni vektor) i, a n
je broj slučajeva u uzorku. Greška se uprosječuje prema broju
izlaznih varijabli i u odnosu na broj slučajeva u uzorku na
kojem se računa. Kod problema klasifikacije se u većini istraživanja
koristi stopa klasifikacije kao mjerilo ocjenjivanja mreže.
Stopa klasifikacije prikazuje postotak ili udio ispravno klasificiranih
promatranja. Kod problema predviđanja najčešće se kao mjerila
koriste RMS greška, MSE (Mean Square Error), MAE (Mean Absolute
Error), koeficijent korelacije i dr.), dok se u novije vrijeme
(Masters, 1998) posebno kod financijskih problema naglašava
potreba korištenja financijskih mjerila (npr. ostvareni simulacijski
profit, prosječni profit i sl.).
U slučaju upotrebe više
NM algoritama, potrebno je na osnovu rezultata na uzorku za
validaciju mreže donijeti konačnu ocjenu o najboljem modelu
NM za dani problem. Mjerila na osnovu kojih se ova odluka
donosi ovise o tipu problema (predviđanje vs. klasifikacija),
prirodi problema (da li je profit ostvaren upotrebom mreže
značajniji od veličine njezine greške), i sl.
Process dizajniranja neuronske
mreže sastoji se od nekoliko faza: (1) definiranje modela
(izbor ulaznih i izlaznih varijabli, priprema ulaznih podataka),
(2) izbor najprikladnijeg algoritma (npr. backpropagation),
(3) raspoređivanje neurona u slojeve (izbor broja skrivenih
slojeva, te broja neurona u svakom skrivenom sloju), (4) određivanje
tipa veze među neuronima, te ulaznih i prijenosnih funkcija
između slojeva, (5) izbor pravila učenja, te nekih parametara
učenja, npr. koeficijenta učenja i momentuma koji utječu na
brzinu i kvalitetu učenja, (6) izbor mjerila za ocjenjivanje
mreže (npr. RMS greška ili stopa klasifikacije), i (7) provođenje
postupka učenja.
Animacija
5. Kako se dizajnira umjetna neuronska mreža
Ovisno o temeljnim formulama
koje se koriste za učenje, ulazne i izlazne funkcije, postoje
različiti algoritmi NM, a unutar svakog algoritma moguće su
intervencije u strukturi mreže (topologiji) i izboru parametara
učenja, te tako postoji široki spektar NM arhitektura. One
se međusobno razlikuju prema kriterijima:
- broju slojeva (dvoslojne i višeslojne),
- tipu veze između neurona (inter-slojne
veze i intra-slojne veze),
- vezi između ulaznih i izlaznih podataka
(autoasocijativne i heteroasocijativne),
- ulaznim i izlaznim (prijenosnim)
funkcijama,
- pravilu učenja,
- ostalim parametrima (sigurnosti ispaljivanja,
vremenskim karakteristikama, i dr.).
Od gore navedenih karakteristika,
za razlikovanje algoritama od osobitog je značenja pravilo
učenja. Pravilo učenja specificira način na koji se podešavaju
težine u mreži. Objasnit ćemo način podešavanja težina na
jednostavnom Delta pravilu, koje je jedno od prvih razvijenih
pravila učenja za neuronske mreže.
 |
Slika 6. a)
Računanje greške neuronske mreže |
|

b)
računanje greške neurona u izlaznom sloju
|

c)
korekcija težina veza neurona u izlaznom sloju
|
|

d)
računanje greške neurona u skrivenim slojevima
|

e)
korekcija težina veza neurona u izlaznom sloju
|
Težina veze w
je jačina veze između dva neurona. Ako je, na primjer, neuron
j povezan s neuronom i, wji
označava težinu veze od neurona j prema neuronu
i (wij je težina obrnute veze od neurona
i prema neuronu j). Ako je neuron i
spojen s neuronima 1,2,...,n, njihove težine su pohranjene
u varijablama w1i, w2i, ..., wni. Promjena
težina obavlja se prema nekom od pravila učenja, a najčešće
se koristi Delta pravilo učenja prema formuli:

gdje je vrijednost
prilagođavanja težine veze od neurona j prema
neuronu i izračunatom prema:
,
gdje je ycj
vrijednost izlaza izračunatog u neuronu j, ei
je sirova greška izračunata prema:

a h je koeficijent
učenja. Neuron prima onoliko ulaza koliko ima ulaznih veza
prema tom neuronu, te proizvodi jedan izlaz u skladu s ugrađenom
prijenosnom funkcijom.
U izlaznom sloju izlaz mreže
uspoređuje se s željenim (stvarnim) izlazom, i određuje se
globalna greška E kao:

gdje je dk
željeni (stvarni) izlaz, dok je xk izlaz mreže,
a k je indeks izlazne komponente, tj. broj izlaznih
jedinica. Svaka izlazna jedinica ima vlastitu lokalnu grešku
e čiji je sirov oblik (dk-xk), ali ono
što se propagira kroz mrežu je skalirana greška u obliku gradijent
komponente:

Cilj procesa učenja u mreži
"širenje unatrag" je minimizirati gornju globalnu
grešku šireći je unazad u veze kroz mrežu sve do ulaznog sloja.
U procesu mijenjanja težina, svaka veza u mreži korigira se
kako bi se postigla manja globalna greška. Proces povećanja
ili smanjenja težina (učenje) izvodi se korištenjem pravila
gradijentnog opadanja:

gdje je h koeficijent učenja.
Da bi se izračunale parcijalne derivacije u gornjoj jednadžbi,
što daje:

Kada se gornji rezultat
uvrsti u formulu za podešavanje težina, dobiva se:

što vodi do glavnog problema
postavljanja odgovarajuće stope učenja. Postoje dvije međusobno
konfliktne smjernice za određivanje h. Prva smjernica je održavati
h na niskoj vrijednosti jer ona određuje područje u kojem
je površina greške lokalno linearna. Ako mreža pretendira
predvidjeti jaku zakrivljenost, takvo područje trebalo bi
biti vrlo malo. Međutim, vrlo mali koeficijent učenja znači
vrlo sporo učenje. U cilju rješavanja ovog sukoba, prethodne
razlike težina u vremenu (t-1) dodane su u prethodnu jednadžbu,
tako da je trenutno podešavanje težina:

gdje je
momentum, koji ubrzava učenje kada je koeficijent učenja nizak.
Učenje se može također ubrzati na način da se težine ne podešavaju
za svaki vektor treniranja, nego kumulativno, pri čemu se
broj vektora treniranja nakon kojeg se težine podešavaju zove
epoha. Epoha koja nije jako velika može unaprijediti brzinu
konvergiranja, ali vrlo velika epoha može računanje greške
učiniti mnogo složenijim i na taj način umanjiti prednosti.
Primjer
3. Izračun korekcije težine veze neurona br. 5 prema izlaznom
neuronu br. 6
Jedna od najčešće primjenjivanih
neuronskih mreža svakako je mreža "širenje unatrag"
ili (eng. backpropagation), te će u nastavku biti opisano
funkcioniranje neuronskih mreža na tom algoritmu.
13.03.2003 |